Jun Zheng*, Nan Chen, Weifeng Zhang and Zigang Deng. Modeling study on high-temperature superconducting bulk's growth anisotropy effect on magnetization and levitation properties in applied magnetic fields. Superconductor Science and Technology, 2021, 34(3): 035011.
//doi.org/10.1088/1361-6668/abdba5

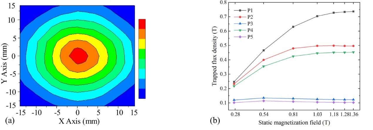
Fig. 2. Experimental results of (a) vertical trapped flux density profile at 2 mm above the top seed surface of the YBaCuO bulk under the 1.03 T magnetization field; and (b) different flux densities at five measuring positions on the top seed surface under the different magnetization fields.